On the potential mismatch between the function of the Bayes factor and researchers’ expectations

Abstract
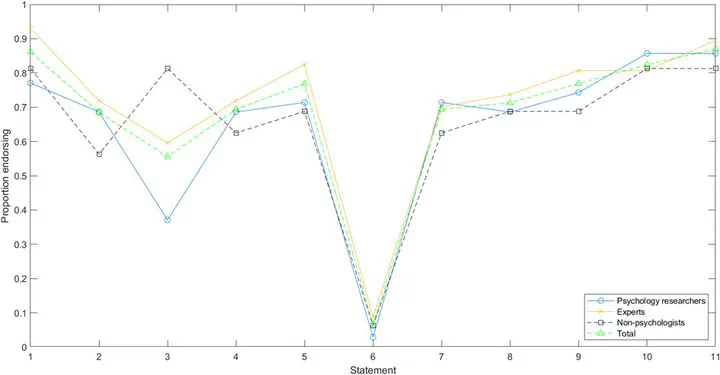
The aim of this study is to investigate whether there is a potential mismatch between the usability of a statistical tool and psychology researchers’ expectation of it. Bayesian statistics is often promoted as an ideal substitute for frequentist statistics since it coincides better with researchers’ expectations and needs. A particular incidence of this is the proposal of replacing Null Hypothesis Significance Testing (NHST) by Null Hypothesis Bayesian Testing (NHBT) using the Bayes factor. In this paper, it is studied to what extent the usability and expectations of NHBT match well. First, a study of the reporting practices in 73 psychological publications was carried out. It was found that eight Questionable Reporting and Interpreting Practices (QRIPs) occur more than once among the practitioners when doing NHBT. Specifically, our analysis provides insight into possible mismatches and their occurrence frequencies. A follow-up survey study has been conducted to assess such mismatches. The sample (N = 108) consisted of psychology researchers, experts in methodology (and/or statistics), and applied researchers in fields other than psychology. The data show that discrepancies exist among the participants. Interpreting the Bayes Factor as posterior odds and not acknowledging the notion of relative evidence in the Bayes Factor are arguably the most concerning ones. The results of the paper suggest that a shift of statistical paradigm cannot solve the problem of misinterpretation altogether if the users are not well acquainted with the tools.
Type
Publication
Collabra: Psychology